近日,我校林學院青年研究員張乃莉研究團隊完成的“Plant-soil feedback is dependent on tree mycorrhizal types and tree species richness in a subtropical forest”論文在農林科學領域Top期刊《Geoderma》(一區TOP,五年影響因子為7.0)發表,發現了樹種多樣性與土壤真菌群落的互作關系是調控植物-土壤反饋(PSF)的重要方面。

PSF是促進植物物種共存和多樣性維持的重要機制。然而,樹種多樣性喪失引起的PSF變化如何影響叢枝菌根(AM)和外生菌根(EcM)樹種的生長情況尚不清楚?;谶@一背景,張乃莉研究團隊依托于我國亞熱帶森林生物多樣性-生態系統功能實驗平臺(BEF-China),通過開展盆栽控制實驗,針對不同植物多樣性情境、不同菌根類型樹種的PSF響應機制開展研究。

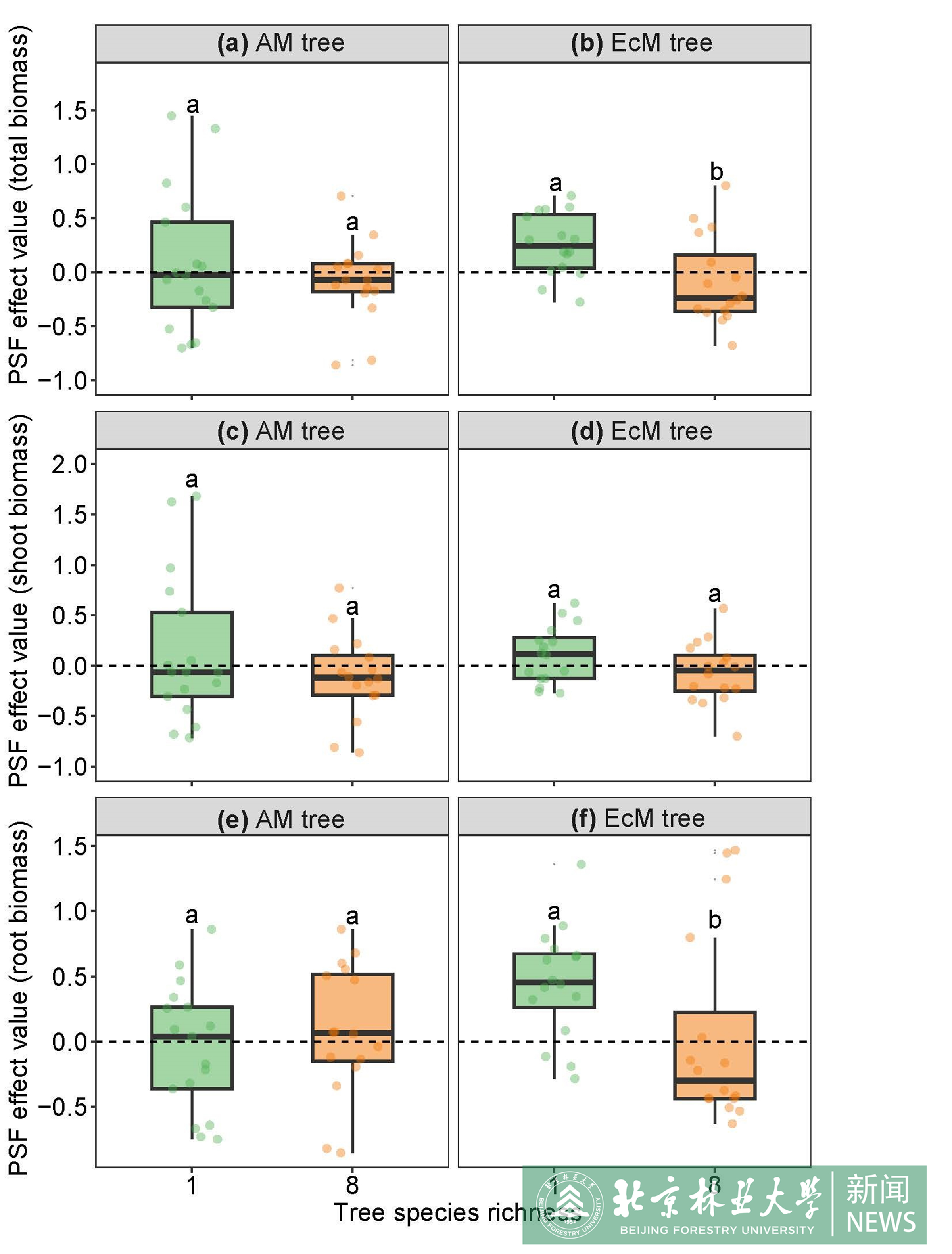
結果表明,隨著樹種多樣性的增加,AM樹種的PSF保持不變;而EcM樹種的PSF從正變為負,這與幼苗形態和生理性狀以及土壤功能真菌群落對樹種多樣性的響應有關,特別是土壤病原真菌α多樣性和真菌共現網絡的復雜性。這說明植物性狀和土壤微生物群落的密切聯系共同調節了幼苗的生長。在多樣性較高的植物群落中,EcM樹種的負PSF強度可能會限制其幼苗的更新,導致幼苗和大樹數量的減少,甚至會對亞熱帶森林生態系統生產力造成負面影響。

此外,基于相關性和多元回歸模型指出植物性狀、土壤理化性質和微生物群落分別解釋了地上部分、根和總生物量變化的75.8%、73.2%和76.3%??偠灾撗芯康慕Y果證明了PSF在調節AM和EcM幼苗生長中的關鍵作用,以及它與樹種豐富度的相互作用;并且發現土壤病原真菌多樣性和真菌共現網絡復雜性在不同樹種多樣性水平下調節EcM樹種PSF的重要性,該項研究有助于我們更好地理解樹種多樣性對亞熱帶森林生態系統生產力的影響。

北京林業大學林學院博士研究生潘玉梅和浙江農林大學王艷紅副教授為論文共同第一作者,北京林業大學林學院的張乃莉副教授為論文通訊作者。該研究得到國家自然科學基金面上項目(NO. 32071644和32161123003)、國家重點研發計劃重點專項項目(NO. 2023YFF1304003-02)和中國科學院先導重點研究項目(NO. XDB31000000)的資助。